编者按:为进一步促进学术资源共享与学术交流合作,快速传递和分享各研究领域的高质量学术论文,确保师生能够及时获取最新研究成果及前沿员工动态,威廉希尔足球特开设“学术快讯”新媒体专栏,旨在通过精心筛选和整理,致力于将最新的、具有影响力的学术文章呈现给读者。本期推荐论文:《完全分布式的线性系统指定时间二分一致性:一种自适应增益调节策略》。
一、中文题目:完全分布式的线性系统指定时间二分一致性:一种自适应增益调节策略
二、英文题目:Fully distributed prescribed-time bipartite synchronization of general linear systems: An adaptive gain scheduling strategy
三、作者信息:周媛,刘永芳,赵宇,曹明,陈关荣
四、发表刊物:Automatica (Regular paper)
五、论文索引信息:10.1016/j.automatica.2023.111459
六、论文简介:
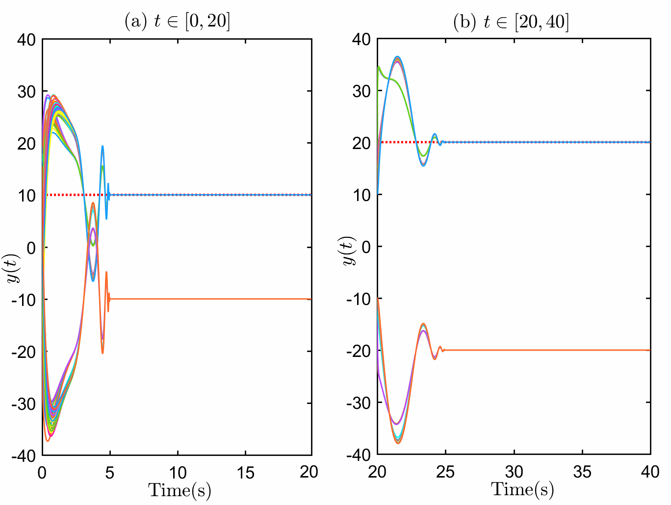
新世纪军事作战、航空航天、工业生产等领域对多智能体系统实现协同的速度提出了较高的要求。而传统的研究理论仅关注系统三维状态收敛特性,无法直接对时间维度的收敛进行有效控制。本论文针对合作对抗网络上线性多智能体系统研究了指定时间控制问题,实现指定时间二分一致性。首先,本论文利用时变参数Lyapunov方程将增益调度问题转化为时变参数设计问题。通过解时变参数Lyapunov方程来设计反馈信号,分别为无向和有向网络系统设计了指定时间的二分一致性协议。基于以上策略,进一步考虑完全分布式的指定时间控制问题,提出了基于通信链路和通信节点的自适应增益调度策略,通过严格的理论推导证明了控制协议可以在任意指定的时间内实现二分一致性。最后通过工业罐装生产线多喷嘴系统对所设计的协议进行了数值模拟,验证了本文理论结果的有效性。

图. 工业罐装生产线流程(左)及喷嘴的压力输出值(右)(指定时间为5s)
来源:赵宇
审核:王小旭